Skip to content
LLCEW

LLCEW

welcome to Ling Liang Church E Wun Secondary School

  • 首頁
  • 本校資料
    • 學校概覽
    • 辦學背景
    • 校歌
    • 校長的話
    • 行政架構
    • 校外評核報告 2025
  • 本校計劃
    • 學校發展津貼計劃(CEG)
      • 2025-2026 學校發展津貼計劃
      • 2024-2025 學校發展津貼報告
      • 2024-2025 學校發展津貼計劃
      • 2023-2024 學校發展津貼報告
      • 2023-2024 學校發展津貼計劃
    • 學校計劃及報告
      • 2024-2027 三年發展計劃
        • 2024-2027 三年發展計劃
        • 2025-2026 學校周年計劃
        • 2024-2025 學校報告
        • 2024-2025 學校周年計劃
      • 2021-2024 三年發展計劃
        • 2021-2024 三年發展計劃
        • 2023-2024 學校報告
        • 2023-2024 學校關注項目
        • 2022-2023 學校報告
        • 2022-2023 學校周年計劃
        • 2021-2022 學校報告
        • 2021-2022 學校周年計劃
    • 校本支援計劃
      • 2025-2026 校本課後學習及支援計劃表
      • 2024-2025 校本課後學習及支援計劃報告
      • 2024-2025 校本課後學習及支援計劃表
      • 2023-2024 校本課後學習及支援計劃報告
      • 2023-2024 校本課後學習及支援計劃表
    • 多元學習津貼
      • 2025-2026 多元學習津貼周年計劃書
      • 2024-2025 多元學習津貼周年評估報告
      • 2024-2025 多元學習津貼周年計劃書
      • 2023-2024 多元學習津貼周年評估報告
      • 2023-2024 多元學習津貼計劃書
    • 全方位學習津貼
      • 2024-2025 全方位學習津貼計劃報告
      • 2024-2025 全方位學習津貼運用計劃
      • 2023-2024 全方位學習津貼計劃報告
      • 2023-2024 全方位學習津貼運用計劃
    • 姊妹學校交流計劃
      • 2025-2026 姊妹學校交流計劃書
      • 2024-2025 姊妹學校交流計劃報告書
      • 2024-2025 姊妹學校交流計劃交流計劃書
      • 2023-2024 姊妹學校交流計劃交流報告書
      • 2023-2024 姊妹學校交流計劃交流計劃書
    • 推廣閱讀津貼
      • 2025-2026 推廣閱讀津貼計劃書
      • 2024-2025 運用推廣閱讀津貼報告書
      • 2024-2025 推廣閱讀津貼計劃書
      • 2023-2024 運用推廣閱讀津貼報告書
      • 2023-2024 運用推廣閱讀津貼計劃書
    • 公民與社會發展科津貼
      • 2024-2027 公民與社會發展科津貼
        • 2024-2025 公民與社會發展科津貼運用報告
        • 2024-2025 公民與社會發展科津貼報告及計劃書
      • 2021-2024 公民與社會發展科津貼
        • 2023-2024公民與社會發展科津貼報告
        • 2023-2024 公民與社會發展科津貼運用計劃書
        • 2022-2023 公民與社會發展科津貼運用報告書
        • 2022-2023 公民與社會發展科津貼運用計劃書
        • 2021-2022 公民與社會發展科津貼運用報告書
        • 2021-2022 公民與社會發展科津貼運用計劃書
    • 學生活動支援津貼
      • 2024-2025 學生活動支援津貼運用預算
      • 2023-2024 學生活動支援津貼運用報告
    • 校園好精神一筆過津貼
      • 2024-2025 校園好精神一筆過津貼運用報告
      • 2024-2025 校園好精神一筆過津貼計劃
    • 支援學校推動校園體育氛圍及「MVPA60」一筆過津貼
      • 2025-2026 協助學校推動校園體育氛圍和 「MVPA60」一筆過津貼報告及計劃書
      • 2024-2025 支援學校推動校園體育氛圍及「MVPA60」一筆過津貼運用計劃
    • 一筆過家長教育津貼
      • 2025-2026 一筆過家長教育津貼運用計劃
      • 2024-2025一筆過家長教育津貼運用報告
      • 2024-2025一筆過家長教育津貼報告及計劃書
    • 大灣區職涯探索之旅計劃
      • 2023-2024 大灣區職涯探索之旅津貼運用報告
      • 2023-2024 大灣區職涯探索之旅計劃報告 (深圳)
      • 2023-2024 大灣區職涯探索之旅計劃報告 (澳門)
      • 2024-2025 大灣區職涯探索之旅計劃
    • 家長學生。 好精神一筆過津貼
      • 2024-2025 家長學生・好精神一筆過津貼津貼運用報告
      • 2024-2025 家長學生。 好精神一筆過津貼運用計劃
    • 推廣中華文化體驗活動一筆過津貼
      • 2024-2027 推廣中華文化體驗活動一筆過津貼計劃(三年計劃)
      • 2024-2025 推廣中華文化體驗活動一筆過津貼運用報告
      • 2025-2026 推廣中華文化體驗活動一筆過津貼運用計劃書
      • 2024-2025 推廣中華文化體驗活動一筆過津貼計劃
    • 有特殊教育需要非華語學生支援津貼
      • 2025-2026 有特殊教育需要非華語學生支援津貼運用預算
    • 學習支援津貼
      • 2025-2026 學習支援津貼運用預算
    • 全方位學習及姊妹學校津貼
      • 2025-2026 全方位學習及姊妹學校津貼運用計劃
    • 推廣自主語文學習(英語)一筆過津貼
      • 2024-2027 推廣自主語文學習(英語)一筆過津貼運用報告及計劃
    • 推廣自主語文學習(普通話)一筆過津貼
      • 2024-2027 推廣自主語文學習(普通話)一筆過津貼運用報告及計劃
  • 學校簡介
    • 學校簡介影片及資訊
    • STEAM教育
    • 媒體報導
      • 2024 文匯報|NOW 新聞|HoyTV 中國女子拳擊奧運冠軍常園蒞臨本校
      • 2023 香港電台 RTHK 新人類、大世界 STEM總動員
      • 2022 大公報 學與教博覽
      • 2022 Sportsoho 運動版圖 全民運動月
      • 2022 香港電台 RTHK 生態科研從校園開始
      • 2021 HK01 領養珊瑚助研生物多樣性
      • 2019 PCM 生物創科雙軌顯成果
      • 2019 友導向 靈糧堂怡文中學X香港電台
      • 2018 文匯報 姊妹學校交流訪理大
      • 2018 友導向 靈糧堂怡文中學X政府飛行服務隊
    • 得獎快訊
  • 家長資訊
    • 入學資訊
      • 中一自行分配學位須知
      • 中一至中五插班申請須知
    • 課程體驗日資訊
    • 家長園地
    • 校曆表
    • eClass App 簡介
      • eClass App 下載及登入
      • ePayment 電子繳費
  • 學與教
    • 中小學一條龍辦學簡介
    • 一條龍生命教育計劃
    • 各級學科
      • 中國語文科
      • ENGLISH LANGUAGE EDUCATION
      • 數學科
      • 公民與社會發展科
      • 公民、經濟與社會科
      • 生活與社會科
      • 化學科
      • 物理科
      • 生物科
      • 科學科
      • 資訊及通訊科技科
      • 地理科
      • 中國文學科
      • 中國歷史科
      • 歷史科
      • 經濟科
      • 音樂科
      • 視覺藝術科
      • 基督教教育科
      • 體育科
  • 校園生活
    • 基督化校園
    • 時光留影
      • 2025-2026
      • 2024-2025
      • 2023-2024
      • 2022-2023
      • 2021-2022
      • 2020-2021
      • 2019-2020
      • 2018-2019
    • 校園影音
      • 2026 陸運會 Sport day 25/26
      • 2025 陸運會 Sport day 24/25
      • 2025 10K挑戰日 24/25
      • 2024 國家運動員常園到訪怡中 24/25
      • 2024 升中課程體驗日 24/25
      • 2023 躍動大嶼。由「靈糧」開始嘉年華 23/24
      • 2023 陸運會 Sports Day 23/24
      • 2023 公民與社會發展科周會 22/23
      • 2023 陸運會 Sports Day 22/23
      • 2023 家教會燒烤 22/23
      • 2023 褔音週午間音樂會 22/23
      • 2023 樂韻悠揚遍怡中 22/23
      • 2022 聖誕崇拜表演 22/23
      • 2022 乘風航海上歷奇 22/23
      • 2022 10K 挑戰日 22/23
      • 2022 課外活動推廣日 22/23
      • 2022 二十周年感恩崇拜暨學生多元才藝表演 21/22
      • 2021 10K 挑戰日 21/22
      • 2019 陸運會 Sports Day 19/20
      • 2019 樂韻悠揚遍怡中 18/19
      • 2019 陸運會 Sport day 18/19
    • 情繫怡中
      • 情繫怡中第36期
      • 情繫怡中第35期
      • 情繫怡中第34期
      • 情繫怡中第33期
    • 家長組織
      • 家長教師會
  • 聯絡我們
  • 一條龍小學

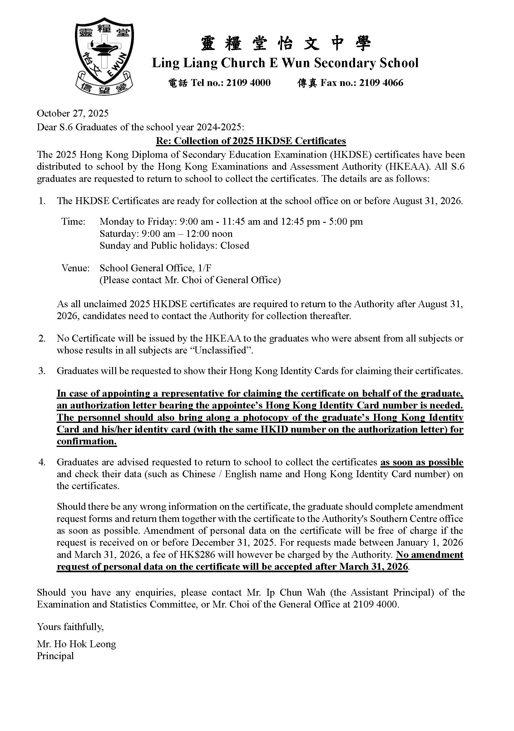
中六級畢業生領取二零二五年香港中學文憑考試證書事宜

13 11 月, 2025 ewunadmin 最新消息

「領取二零二五年香港中學文憑考試證書」事宜_Re_Collection of 2025 HKDSE Certificates

文章導覽

Previous Post:2025年11月01日 第二屆情繫中華香港青少年作文暨朗誦大賽
Next Post:2025年11月17日 中六班際競技日

內聯網登入 Login E-class

快速連結/Links

Group Lists for the New School Year (2025-2026)/新學年(2025-2026)分組名單

New S.1 students (School Year 2025-2026) 中一級新生(2025-2026學年)
S1 students (School Year 2024-2025) - Group List for the New School Year (2025-2026) 中一級學生(2024-2025學年) - 新學年(2025-2026)分組名單
S2 students (School Year 2024-2025) - Group List for the New School Year (2025-2026) 中二級學生(2024-2025學年) - 新學年(2025-2026)分組名單
S3 students (School Year 2024-2025) - Group List for the New School Year (2025-2026) 中三級學生(2024-2025學年) - 新學年(2025-2026)分組名單
S4 students (School Year 2024-2025) - Group List for the New School Year (2025-2026) 中四級學生(2024-2025學年) - 新學年(2025-2026)分組名單
S5 students (School Year 2024-2025) - Group List for the New School Year (2025-2026) 中五級學生(2024-2025學年) - 新學年(2025-2026)分組名單

網上校曆表

Copyright © 2022 Ling Liang Church E Wun Secondary School 靈糧堂怡文中學